Dependency Flow Graph Example#
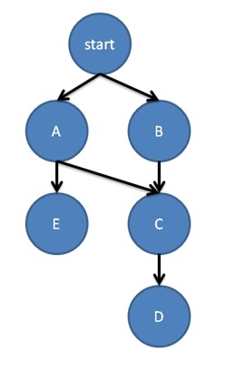
In the following example, five computations A-E are set up with the partial ordering shown below in “A simple dependency graph.”. For each edge in the flow graph, the node at the tail of the edge must complete its execution before the node at the head may begin.

A simple dependency graph.#
#include <cstdio>
#include "oneapi/tbb/flow_graph.h"
using namespace oneapi::tbb::flow;
struct body {
std::string my_name;
body(const char *name) : my_name(name) {}
void operator()(continue_msg) const {
printf("%s\n", my_name.c_str());
}
};
int main() {
graph g;
broadcast_node< continue_msg > start(g);
continue_node<continue_msg> a(g, body("A"));
continue_node<continue_msg> b(g, body("B"));
continue_node<continue_msg> c(g, body("C"));
continue_node<continue_msg> d(g, body("D"));
continue_node<continue_msg> e(g, body("E"));
make_edge(start, a);
make_edge(start, b);
make_edge(a, c);
make_edge(b, c);
make_edge(c, d);
make_edge(a, e);
for (int i = 0; i < 3; ++i) {
start.try_put(continue_msg());
g.wait_for_all();
}
return 0;
}
In this example, nodes A-E print out their names. All of these nodes are
therefore able to use struct body
to construct their body objects.
In function main
, the flow graph is set up once and then run three times. All of the nodes in
this example pass around continue_msg
objects. This type is used to communicate that a node has
completed execution.
The first line in function main
instantiates a graph
object g
. On the next line, a
broadcast_node
named start
is created. Anything passed to this node will be
broadcast to all of its successors. The node start
is used in the for
loop at the bottom of
main
to launch the execution of the rest of the flow graph.
In the example, five continue_node
objects are created, named a - e. Each node is constructed
with a reference to graph
g
and the function object to invoke when it runs. The
successor / predecessor relationships are set up by the make_edge
calls that follow the
declaration of the nodes.
After the nodes and edges are set up, the try_put
in each iteration of the for
loop results
in a broadcast of a continue_msg
to both a
and b
. Both a
and b
are waiting for a
single continue_msg
, since they both have only a single predecessor, start
.
When they receive the message from start
, they execute their body objects. When complete,
each of them forwards a message to a successor, and so on. The graph
uses tasks to execute the node bodies as well as to forward messages between
the nodes, allowing computation to execute concurrently when possible.
See also: